Salud y Deporte Bionálisis
Inicio
Información
Unidades
Plan de Evaluación
Notas
Presentaciones
Novedades
Blog
Contáctanos
Inicio
>
Información
>
Notas
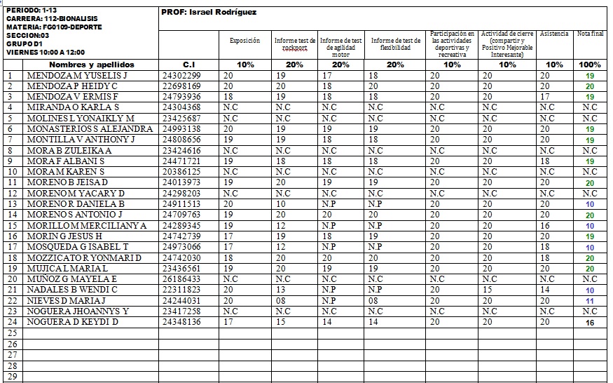
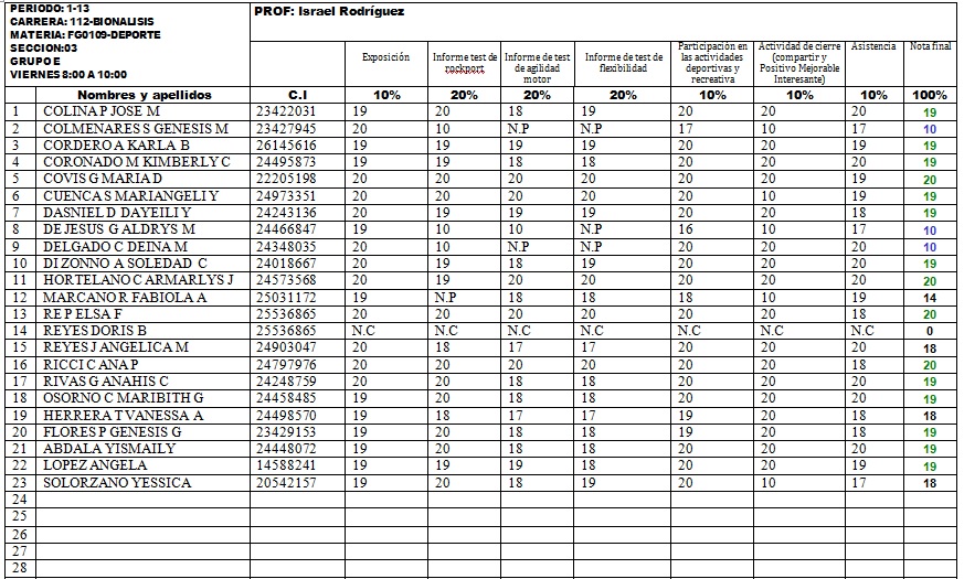
Notas
Buscar en el sitio
Contacto
Prof: Israel Rodríguez
04121470610
israelgta10@gmail.com
Inicio
Mapa del sitio
RSS
Imprimir
¿Te gusta esta página web?
¡Crea tu propia web gratis en 5 minutos!
¡Pruébalo!